R型墊圈
環式接頭墊片最初是為石油工業中高壓/高溫應用而開發的,主要用于油田的鉆井完井設備。
然而,今天這個產品系列也可以在閥門和管道工作裝置上找到,還有一些高完整性的壓力容器接頭。
R型墊片的制造符合API 6A、6B和ASME b16.20適合API ASME/ANSI B16.5法蘭。在橢圓形和八角形配置,這兩種類型是可互換的現代八角型槽法蘭。
壓力:2000-5000 PSI
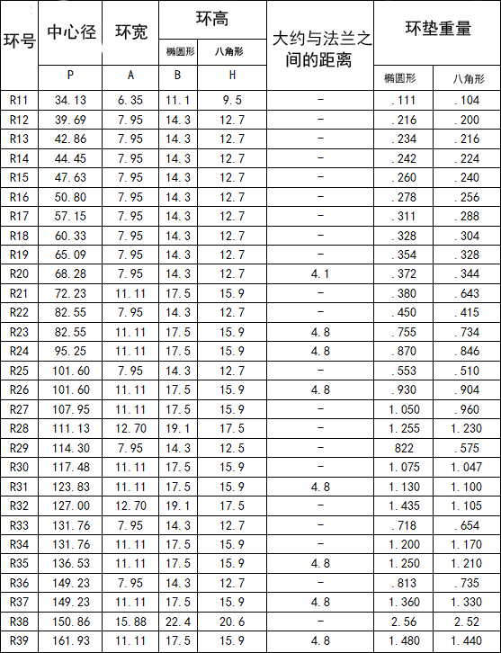
樣式及尺寸

公差:(mm)
A(環的寬度)±0.20
b,H(環的高度)±0.5
P平均螺距(環的直徑)±0.18
23°(角)
1/2°
flexftallic風格R環式節點可以制造符合有關標準符合以下法蘭代號
API6A
ASME/ANSI B16.5
MSS SP44(ASME B16.47系列)
BS 1560





